Jamaah haji saat berada di Makkah menempati pemondokan yang berbeda-beda. Ada yang letaknya cukup dekat ke Masjidil Haram, namun ada juga yang berjarak cukup jauh.
Untuk menentukan pembagiannya agar adil, dilakukan sistem Qur'ah, yakni dengan cara pengundian. Proses pengundian sudah berjalan di Jakarta pada tanggal 22 Juni lalu dan dibuka langsung oleh Menteri Agama Lukman Hakim Saifuddin dan dihadiri para pejabat Kementerian Agama di daerah termasuk para pengawas haji.
SCROLL TO CONTINUE WITH CONTENT
Ada pun pemondokan-pemondokan tersebut terbagi ke dalam enam wilayah, yang terdiri dari Jarwal/Biban, Misfalah/Nakasah, Mahbas Jin, Aziziyah, Raudhah dan Syisah. Pemondokan di Makkah dalam lingkup layanan 52 Maktab yang terbagi menjadi 9 sektor.
Wilayah-wilayah di atas dipilih karena mudah dikenali dan diakses. Semua pemondokan diklaim Kemenag sudah berstandar hotel dengan jarak terjauh maksimal 4,5 kilometer dari Masjidil Haram.
"Intinya adalah bawa karena masing-masing hotel itu punya lokasi berbeda dari Masjidil Haram. Jadi, demi menegakkan keadilan, supaya tidak ada yang iri satu jamaah dengan yang lainnya. Maka cara yang selama ini kita terapkan adalah dengan diundi. Dengan diundi penempatan jamaah semata-mata undian itu yang menentukan," kata Menag Lukman.
Para jamaah nantinya akan beraktivitas sehari-hari menggunakan bus salawat. Bus itu akan beroperasi selama 24 jam di luar puncak haji, untuk melayani jamaah dari pemondokan ke Masjidil Haram.
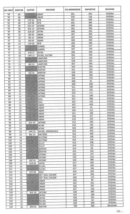
Lewat surat keputusan nomor B-28.582/Dt.II.III.1/Hj.06/07/2016, undian kelompok jamaah menempati pemondokan sudah ditetapkan. Berikut daftarnya:
Foto: Dokumen Kemenag |
Foto: Dokumen Kemenag |
Foto: Dokumen Kemenag |
Foto: Dokumen Kemenag |
Foto: Dokumen Kemenag |
Foto: Dokumen Kemenag |
Foto: Dokumen Kemenag |
Foto: Dokumen Kemenag |












































Foto: Dokumen Kemenag
Foto: Dokumen Kemenag
Foto: Dokumen Kemenag
Foto: Dokumen Kemenag
Foto: Dokumen Kemenag
Foto: Dokumen Kemenag
Foto: Dokumen Kemenag
Foto: Dokumen Kemenag